
V RPG hraní již dlouho existuje nápad „multikampaně“, tedy hraní jednoho příběhu více skupinami naráz, které se navzájem ovlivňují. Rozhodli jsme se, že vám přibližíme proč je takové hraní zajímavé, jiné a hlavně zábavné. Je to právě přesně tři roky, co se na GameConu objevily poprvé Legendy Klubu dobrodruhů, které se právě v takové multikampani hrají.
Multikamapaň je koncept, který v RPG existuje již velmi dlouho. Její rámec je vcelku prostý – jde o hraní RPG, při němž dvě či více skupin sdílí při svém hraní tentýž svět, příběh a „časoprostor“. Vzájemně se ovlivňují a za určitých podmínek se dokonce mohou i setkat. Nejde tedy o stejné hraní jako mistrovství v DrD, v němž několik skupin hraje přesně ten samý příběh, nezávisle na ostatních.
Pedchůdcem naší multikampaně je „návazná“ multikampaň. Ve světě existuje určité dění a každá skupina přímo navazuje na to, co udělala ta předchozí. Vypravěč přímo využívá jednu hru k tvorbě situací ve hře následující a hráči se tak (ne)přímo setkávají s důsledky činů svých předchůdců. Již nejde jen o živý svět, v němž různé skupiny dělají různé, na sobě nezávislé věci, ale o svět, v němž skupiny dohromady vypráví jeden a tentýž příběh.

Co se ale stane v myslích hráčů, když vypravěč začne takto hrát s několika skupinami pravidelně? Celý příběh se posune na další úroveň – nevnímá jej jen vypravěč, ale všechny skupiny a všichni hráči, kteří s vypravěčem hrají. Každá skupina může hrát svou vlastní linii příběhu, ty se ale vzájemně proplétají a ovlivňují – hráči každé skupiny tak mohou odhadnout, co jiná skupina dělá a udělat něco, co jí pomůže nebo hodí klacky pod nohy. Mohou si dokonce přes vypravěče posílat skutečné dopisy a vzkazy či může nastat situace, v níž se skupiny opravdu setkají.

„Jednou mi jedna skupina přepadla malý vojenský konvoj a druhá skupina pak šla přepad vyšetřovat – sám bych vživotě nepopsal stopy na místě tak dobře, živě a realisticky, jako jsem je mohl popsat tím, že jsem popisoval, co se na tom místě v minulé hře opravdu dělo. Bylo to ohromné množství významných detailů.“, řekl jeden z nejaktivnějších vypravěčů hrající multikampaně, jehož jméno je redakci známé.
Já sám jsem jednou v pozici hráče jedné „vedlejší“ skupiny hrál velkolepý závěr celého příběhu. Vypravěč nám řekl, že přichází vysílání z Měsíce. Místo prostého popisu vytáhl počítač a pustil nám videozprávu od hlavní skupiny, která nás žádala o provedení konkrétních věcí, které potřebovala, aby mohla porazit nepřítele. Tento moment byl dechberoucí.
Jak už jistě chápete, multikampaň se dá pojmout různě – můžete mít dvě „plnohodnotné“ skupiny, nebo jen hraní své hlavní skupiny doplňovat občasnými one-shoty s jinými nebo méně pravidelnými skupinami. Existuje vypravěč, který takto hraje se svou hlavní a vedlejší skupinou v poměru 4:1 – čtyři hry své hlavní „kladné“ skupiny vyvažuje hrou se svou vedlejší „záporáckou“ skupinou (která hraje v širším časovém měřítku oproti té hlavní). Tak zákeřné a promyšlené záporácké plány by sám těžko vymýšlel – a hráči jeho hlavní skupiny byli mnohdy zcela zoufalí z intrik a plánů nepřátel.
Možností a příkladů, jak s konceptem multikampaně pracovat – naplno nebo z části, průběžně či jen občas – je mnoho a může to velmi obohatit hraní vás všech, pokud se k tomu odhodláte.
Sekce Legend vstoupila na GameCon s trochu zmatečnou pověstí „dalšího soutěžního hraní“ („klání“ či „turnaje“), souběžného k Mistrovství v DrD, jen v jiném systému. To byla trochu naše komunikační chyba – je pravda, že Legendy „hodnotíme“, hodnocení je však jen třešnička na dortu v zájmu přidat hře trochu více napětí a švihu. Hlavní podstata Legend spočívá právě v onom ochutnání multikampaně.
Nejsme první, kdo u nás do těchto vod vstoupil. Před námi bylo např. dávné legendární hraní Ducháčkových kobek nebo turnaje DnD na dávných PragoConech, které ale vypadaly trochu jinak – všechny skupiny tam hrály skutečně naráz, mnohdy v jedné místnosti. A skupiny mnohdy točily vypravěče živelně, jak hra běžela – hrálo se např. jen v jednom městě, každý vypravěč ovládal jeho část (čtvrť, palác, kus podzemí…) a skupiny (mnohdy i ke dvaceti družinám) přecházely od vypravěče k vypravěči tak, jak se samy městem pohybovaly (občas čekaly, než jiná skupina dohraje, jindy se tam přímo potkávaly). Bylo to megalomanské a legendární, ale bylo to i krutě náročné – hrálo se celý den, mnohdy dlouho do noci a požadavky na přípravu byly velmi náročné. Existovali vypravěči a šéf-vypravěči, co řídili vypravěče a Velký vypravěč, co řídil šéf-vypravěče … jistě si to dovedete představit.

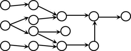
Pro potřeby GC jsme se takové formy neodvážili – jak kvůli nám, tak kvůli vám. Namísto toho jsme vytvořili koncept jednoho příběhu, který se „rozpadá“ na jednotlivé své části a každá skupina hraje nejprve jeho první část (u prvního vypravěče) a pak v druhém kole naváže na jinou skupinu v druhé části (u druhého vypravěče). Není to tak vzrušující jako hraní, který jsem popsal výše, ale má jiné výhody: Můžeme snáz nabídnout více prostředí a žánrových stylizací, máte lepší možnost vybrat si, jakou část příběhu chcete hrát a v neposlední řadě máme mnohem lepší kontrolu nad tím, jak skupiny interagují a hlavně jak dlouho hra trvá.
Vzájemné provázání navazujících her tak, aby hráči skutečně cítili interakci s předchozí skupinou v navazujícím prostředí, mělo první dva roky značné rezervy. Přemýšleli jsme celý rok a věříme, že se nám povedlo tyto rezervy vyřešit a zajistit vám tak ještě lepší zážitek ze hry.
Legendy jsou především hraní RPG trochu jiným – „vícečetným“ – způsobem. Pokud vás to zajímá, doufáme, že jste se už přihlásili – pokud ne, tak jsme letos vypsali více her, než kdy dřív a pokud se něco nezmění od momentu, kdy tento text píšu, tak stále ještě v pár hrách nějaká volná místa zbývají.
Těšíme se na vás na GameConu ;-)